If you are looking for Cellular Respiration: The Electron Transport Chain (NEW) | Labster you've came to the right web. We have 9 Images about Cellular Respiration: The Electron Transport Chain (NEW) | Labster like 7th grade cellular respiration lab by Lauren Allen | TpT, Cellular Respiration: The Electron Transport Chain (NEW) | Labster and also 7th grade cellular respiration lab by Lauren Allen | TpT. Read more:
Cellular Respiration: The Electron Transport Chain (NEW) | Labster
www.labster.com respiration electron labster
Irp 3 Cell Respiration
www.slideshare.net respiration
Lab: Foaming Fermentation Investigation (Anaerobic Cellular Respiration)
foaming anaerobic fermentation respiration cellular
Grubbmcc Teaching Resources | Teachers Pay Teachers
anaerobic aerobic respiration cellular jpablo
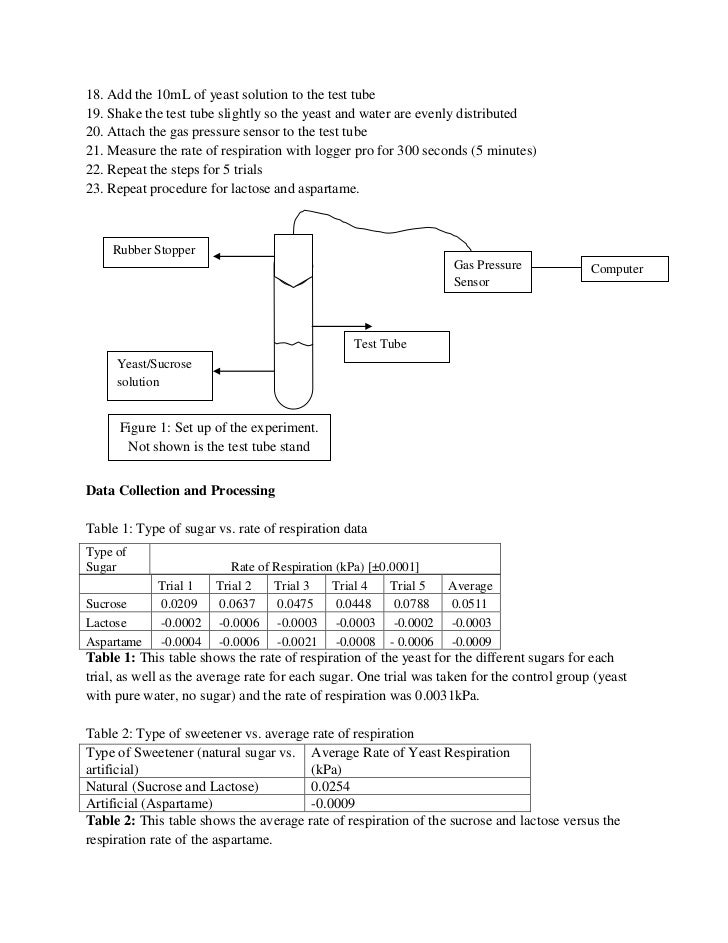
Yeast Lab Report
www.slideshare.net fermentation lab ethanol
INSTITUTE OF PHYSIOLOGY CAS - Shared Equipment
oroboros 2k cas equipment mitochondrial respiration measurement fluorescent daii cellular setups three
Cellular Respiration: The Krebs Cycle (NEW) | Labster
www.labster.com krebs labster respiration
7th Grade Cellular Respiration Lab By Lauren Allen | TpT
respiration
Cell Physiology MegaBundle: Cells, Mitosis, Enzymes, Photosynthesis
photosynthesis respiration enzymes megabundle physiology mitosis cells cell
Yeast lab report. Institute of physiology cas. Cellular respiration: the electron transport chain (new)



